今日概要:
django与其他框架的对比
django性能相关
- 内置
- 第三方
- 架构相关
实战案例
生产者和消费者
用户 网站 用户 网站(生产者) 【任务1,任务2】 脚本(消费者) 案例:实现刷某个视频网站的播放量。基于gojs + websocket实现的动态数据展示(代码发布系统)
轮训
长轮训
websocket协议(用)
第三方的常见 channels,实现websocket。
HTTP协议(无状态的短连接) 浏览器客户端 知乎服务端 新连接 向知乎发送请求 -> 接收并处理 接收结果 <- 结果返回 新连接 向知乎发送请求 -> 接收并处理 接收结果 <- 结果返回 HTTPS协议(无状态的短连接),中间传输的数据都是加密。 浏览器客户端 知乎服务端 新连接 向知乎发送请求 -> 接收并处理 接收结果 <- 结果返回 新连接 向知乎发送请求 -> 接收并处理 接收结果 <- 结果返回 WEBSOCKET协议,建立连接,相互通信(类似于python中socket)。 浏览器客户端 知乎服务端 发起连接 -> 接收连接 之后 例如:聊天室。
1.框架对比
django vs flask
底层处理原理:
- django,传统的传参梳理模式。
- flask,上下文管理模式。
[](http://blog.myjishu.com/media/editor/image-20210620100342141_20210702100021584328.png "02")
组件
- django,内部提供了大量的组件。例如:ORM、Form&ModelForm、中间件、分页、缓存、Session、认证模块、amdin管理、contenttypes等...
- 简单的小网站,很多内置组件就浪费了。
- 大型点的网站,django + 第三方组件。(自己3个组件)
- flask,内部提供非常少基础组件。例如:路由、视图、模板处理、session。
- 简单的小网站,用他的内置组件就可以完成。
- 大型点的网站,Flask + 第三方组件。 (自己配置13个组件)
建议:小网站用flask、稍微大型应用django更快(数据库操作 & 用户认证)。
- django,内部提供了大量的组件。例如:ORM、Form&ModelForm、中间件、分页、缓存、Session、认证模块、amdin管理、contenttypes等...
django vs 异步框架(tornado、sanic、fastapi)
不用等待 就可以发第二个请求 可以支持多用户同时访问 引用了消息队列吧 非阻塞 一般游戏不是用这个异步吗如果你的网站中需要有大量的IO操作,引入异步框架才有意义。
注意:django3也在开始支持异步。
为什么有些公司没有IO请求,为什么也用异步框架呢?
- 数据连接 & 数据库操作
- redis & 操作redis
但凡设计网络相关,都存在IO请求。
业内,大家对于异步的开发不是特别熟悉。
现在:
django + celery
- django处理绝大部分的同步请求。
- celery 处理局部的IO、计算、其他等占用时间比较久的请求。
- 异步框架
- 新公司&大量的IO请求。
- 异步框架 + celery去解决。
问题:异步框架跟上面普通框架+队列的优势在哪里?感觉client都不会堵塞
2.django性能相关
增加数据
models.Customer.objects.create(参数) obj= models.Customer(参数) obj.save()需求来了,读取文件中10行数据,添加到数据库。
# 用的同一个数据库连接,事务提交了10次 for i in range(10): models.Customer.objects.create(参数)
# 开始事务 executemany models.Customer.objects.bulk_create([ models.Customer(参数1), models.Customer(参数1), models.Customer(参数1), ],batch_size=10) # 提交事务
问题:是否看了新录制的mysql第一天的作业。
内存代替表关联
class Order(models.Model): status_choices = ( (1, "待执行"), (2, "正在执行"), (3, "已完成"), (4, "失败"), ) status = models.SmallIntegerField(verbose_name="状态", choices=status_choices, default=1) site = models.SmallIntegerField(verbose_name="站点", choices=SITE_CHOICES, default=1) # 缺点:数据无法动态 # 优点:性能高、速度快。
```python class Status(models.Model):
title = models.CharField(verbose_name="标题",max_length=32)
class Order(models.Model): status= models.ForeignKey(verbose_name="状态",to="Status",on_delete=models.CASCADE) site = models.SmallIntegerField(verbose_name="站点", choices=SITE_CHOICES, default=1)
缺点:每次都需要连表,效率低。
优点:status状态是动态
- 去除约束(外键)
```python
class Status(models.Model):
title = models.CharField(verbose_name="标题",max_length=32)
class Order(models.Model):
status= models.ForeignKey(verbose_name="状态",to="Status",on_delete=models.CASCADE)
oid = models.CharField(verbose_name="订单号", max_length=64, help_text="用户ID+时间戳")
# 内部插入数据时,存在外键约束。
class Status(models.Model):
title = models.CharField(verbose_name="标题",max_length=32)
class Order(models.Model):
status= models.ForeignKey(verbose_name="状态",to="Status",on_delete=models.CASCADE, db_constraint=False )
oid = models.CharField(verbose_name="订单号", max_length=64, help_text="用户ID+时间戳")
# status不会在数据库中创建外键约束,但依然可以在django使用status字段进行连表操作。
select_related主动连表(FK)
```python class Status(models.Model):
title = models.CharField(verbose_name="标题",max_length=32)
class Order(models.Model): status= models.ForeignKey(verbose_name="状态",to="Status",on_delete=models.CASCADE) xxx = oid = models.CharField(verbose_name="订单号", max_length=64, help_text="用户ID+时间戳")
```python
# select * from order 5条数据
result = models.Order.objects.all()
for row in result:
print(row.oid)
print(row.status.title) # select title from status where id=1
# 所以,上述过程执行 6次 数据库查询。
# select * from order left join status ....
result = models.Order.objects.select_related("status",) # 主动连表
for row in result:
print(row.oid)
print(row.status.title)
# 所以,上述过程执行 1次 数据库查询。
prefetch_related多次请求(只获取必备关联数据)(m2m)
```python class Status(models.Model):
title = models.CharField(verbose_name="标题",max_length=32)
class Order(models.Model): status= models.ForeignKey(verbose_name="状态",to="Status",on_delete=models.CASCADE) oid = models.CharField(verbose_name="订单号", max_length=64, help_text="用户ID+时间戳")
```python
# 第一次:select * from order where id>5,
# 第二次:内部将上一步查询的数据 status_id 汇总起来。 [1,2,3]
# select * from status where id in [1,2,3]
result = models.Order.objects.filter(id__gt=5).prefetch_related("status")
for row in result:
print(row.oid)
print(row.status.title)
数据库连接池
默认不支持数据库连接池。
为一个请求(一个线程)创建一个数据库的连接。 django内部处理业务的线程,会重用数据库连接。DATABASES = { "default": { "ENGINE": "...", "NAME": "...", "CONN_MAX_AGE": 60, # 默认值0,60秒 每个线程持有连接的时间,过期后重建简历连接。 } }
第三方支持数据库连接池
pip install django-db-connection-pool 注意:依赖SQLAlchemy里面连接池,少量代码的衔接。
DATABASES = { "default": { 'ENGINE': 'dj_db_conn_pool.backends.mysql', # 1. 数据库连接池需修改 'NAME': 'video_killer', 'HOST': '127.0.0.1', 'PORT': 3306, 'USER': 'root', 'PASSWORD': 'root123', 'POOL_OPTIONS': { # 2.连接池的参数 'POOL_SIZE': 10, # 最小连接数 'MAX_OVERFLOW': 10 # 在最小的基础上,还可以增加10个,即:最大20个 } } }
[](http://blog.myjishu.com/media/editor/image-20210620115602705_20210702100342091960.png "07")
问题:django线程连接数最大怎么配置?
```
以UWSGI为例:
```
```ini
[uwsgi]
socket = 127.0.0.1:8080
chdir = /data/pythonav-web/pythonav/
wsgi-file = pythonav/wsgi.py
processes = 4
threads = 10
virtualenv = /envs/pythonav/
```
-
pip install django_redis# settings.py CACHES = { "default": { "BACKEND": "django_redis.cache.RedisCache", # redis "LOCATION": "redis://127.0.0.1:6379", "OPTIONS": { "CLIENT_CLASS": "django_redis.client.DefaultClient", "CONNECTION_POOL_KWARGS": {"max_connections": 100} # "PASSWORD": "密码", } } }
# views.py from django.shortcuts import HttpResponse from django.views.decorators.cache import cache_page @cache_page(60 * 15) def index(request): # 连接数据库 return HttpResponse("....") # 第一次,在浏览器上访问 /index/ # 第二次:在浏览器上访问 /index/,直接从缓存中获取数据。
所以,接下来为了简化,不再使用redis来演示。以文件为例:
CACHES = { 'default': { 'BACKEND': 'django.core.cache.backends.filebased.FileBasedCache', 'LOCATION': '/var/tmp/django_cache', # 文件路径 } }
视图级别
# urls.py from django.contrib import admin from django.urls import path, re_path from web import views urlpatterns = [ path('admin/', admin.site.urls), re_path(r'index/', views.index), re_path(r'old/', views.old), ]
```python # views.py from django.shortcuts import render, HttpResponse from django.views.decorators.cache import cache_page from web import models import datetime
def index(request):
ctime = datetime.datetime.now().strftime("%Y-%m-%d %H:%M:%S")
return HttpResponse(ctime)
@cache_page(10)
def old(request):
ctime = datetime.datetime.now().strftime("%Y-%m-%d %H:%M:%S")
return HttpResponse(ctime)
```
- 局部模板级别
```python
# url.py
from django.contrib import admin
from django.urls import path, re_path
from web import views
urlpatterns = [
re_path(r'part/', views.part),
]
```
```python
# views.py
from django.shortcuts import render, HttpResponse
from django.views.decorators.cache import cache_page
from web import models
import datetime
def part(request):
ctime = datetime.datetime.now().strftime("%Y-%m-%d %H:%M:%S")
return render(request, 'part.html', {'ctime': ctime})
```
```html
{% load cache %}
<!DOCTYPE html>
<html lang="en">
<head>
<meta charset="UTF-8">
<title>Title</title>
</head>
<body>
<h1>原数据</h1>
{{ ctime }}
<h1>缓存数据</h1>
{% cache 10 xxxxxxx1 %}
{{ ctime }}
{% endcache %}
</body>
</html>
```
3.架构的设计
需要根据公司业务场景 & 情况,综合决定选择哪种架构。
- 案例1:播放量
- 案例2:websocket
3.1 刷某网站播放量
3.1.1 平台
1.表结构设计
from django.db import models
class Administrator(models.Model):
""" 管理员表 """
type_choices = (
(1, "管理员"),
(2, "超级管理员"),
)
user_type = models.SmallIntegerField(verbose_name="用户类型", choices=type_choices, default=1)
username = models.CharField(verbose_name="用户名", max_length=32, db_index=True)
password = models.CharField(verbose_name="密码", max_length=64)
mobile = models.CharField(verbose_name="手机号", max_length=11, null=True, blank=True, db_index=True)
# true,激活
# false,已删除
active = models.BooleanField(verbose_name="是否激活", default=True, help_text="False表示删除")
class Customer(models.Model):
""" 客户 """
username = models.CharField(verbose_name="用户名", max_length=32, db_index=True)
password = models.CharField(verbose_name="密码", max_length=64)
balance = models.DecimalField(verbose_name="账户余额", default=0, max_digits=10, decimal_places=2)
creator = models.ForeignKey(verbose_name="创建者", to="Administrator", on_delete=models.CASCADE)
create_date = models.DateTimeField(verbose_name="创建日期", auto_now_add=True)
active = models.BooleanField(verbose_name="是否激活", default=True, help_text="False表示删除")
class ChargeRecord(models.Model):
""" 充值记录 """
amount = models.DecimalField(verbose_name="充值金额", default=0, max_digits=10, decimal_places=2)
customer = models.ForeignKey(verbose_name="客户", to="Customer", on_delete=models.CASCADE)
creator = models.ForeignKey(verbose_name="管理员", to="Administrator", on_delete=models.CASCADE)
create_date = models.DateTimeField(verbose_name="充值时间", auto_now_add=True)
class PricePolicy(models.Model):
""" 价格策略
10000 5
20000 9
30000 13
"""
count = models.IntegerField(verbose_name="数量")
price = models.DecimalField(verbose_name="价格", default=0, max_digits=10, decimal_places=2)
class Order(models.Model):
""" 订单,创建好之后放在redis的队列中(生产者 & 消费者) """
status_choices = (
(1, "待执行"),
(2, "正在执行"),
(3, "已完成"),
(4, "失败"),
)
status = models.SmallIntegerField(verbose_name="状态", choices=status_choices, default=1)
oid = models.CharField(verbose_name="订单号", max_length=64, help_text="用户ID+时间戳")
url = models.URLField(verbose_name="视频地址")
# 疑问,FK和PricePolicy关联是不是会更好?
count = models.IntegerField(verbose_name="数量")
price = models.DecimalField(verbose_name="价格", default=0, max_digits=10, decimal_places=2)
old_view_count = models.IntegerField(verbose_name="原播放量", default=0)
customer = models.ForeignKey(verbose_name="客户", to="Customer", on_delete=models.CASCADE)
memo = models.TextField(verbose_name="备注", null=True, blank=True)
2.离线脚本初始化
例如:以后你们在做项目交付时,如果涉及到初识用户,就可以用脚本来实现。
3.订单的功能
功能明细:
订单列表,读取当前登录用创建的所有的订单。
登录用户的id,即:customer_id=1 (alex) data_list = models.Order.objects.filter(customer_id=1).order_by("-id"); 在页面上展示订单信息。创建订单,让用户输入一些基本信息。
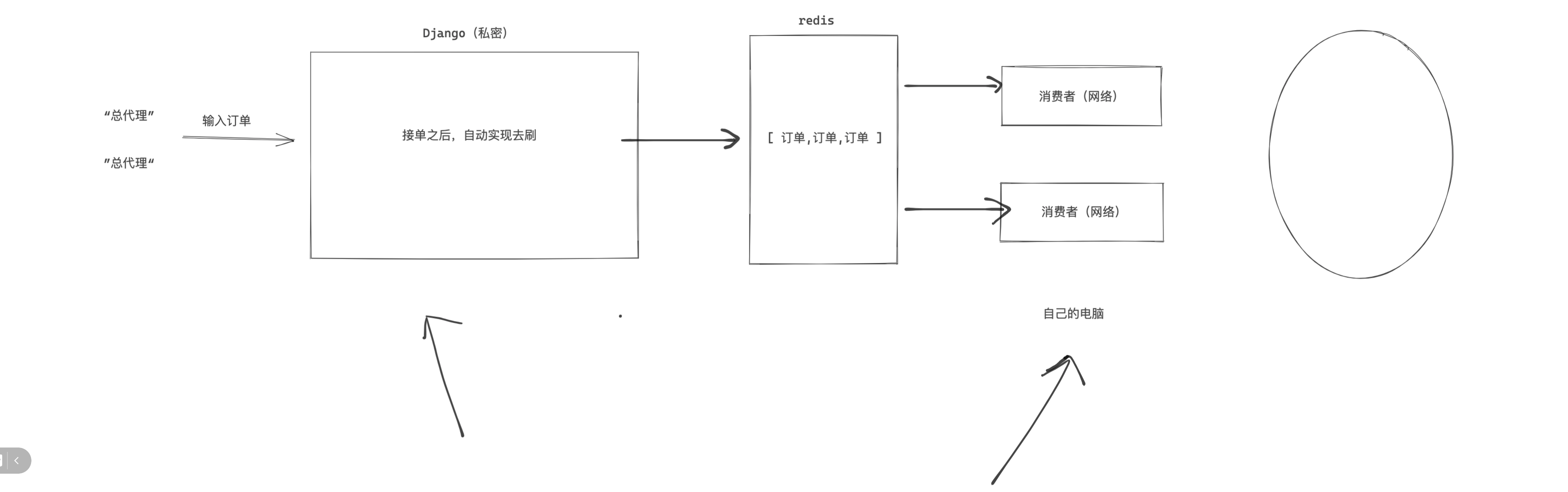
提交数据之后: - 将数据写到数据库中 订单表中 - 订单信息放在redis中(队列)
问题:
- 假如redis没有集群单台服务器挂了,内存上数据没了,是需要重新把数据全部加载到redis上吗,然后消费者那边是重新需要拿数据吗。
- 那消费者服务挂了,那消费者那边需要做些什么。
- redis的列表充当消息队列,没有这种机制。
- rabbitMQ
3.1.2 刷播放
死循环,队列中获取订单。
import redis conn = redis.Redis(host='127.0.0.1', port=6379, password="qwe123") while True: # 消费者,去队列中获取数据,如果没有任务默认是返回 None item = conn.brpop("video_order_list") print(item) # 获取到订单ID根据ID将订单的状态更新:status=2,正在执行中 & 获取现有播放量更新。
根据ID去数据库中查询得到:url、count,根据此信息让爬虫取爬取数据。
url = "https://w.yangshipin.cn/video?type=0&vid=s000034o5z2" run(url)
...
执行完成之后,需要根据ID进行相应的更新,status=3,已完成。
注意:关于连接数据库 or Redis,可以直接通过账户去连接。
刷播放优化:
线程池,来做的爬虫(线程在IO等待时没有被充分利用)
协程,线程 + 协程。
50个线程 10个协程 --> 50*10=500async def handler(video_url): # 协程去爬取数据 async def engine(video_url): # 创建的10个协程 tasks = [ asyncio.create_task(handler(video_url)) for _ in range(10) ] await asyncio.wait(tasks) def task(video_url): # 一个线程 asyncio.run( engine(video_url) ) def run(): video_url = "https://m.yangshipin.cn/video?type=0&vid=y000088hru8" # 将10000个任务交给线程池,让线程池取处理。 # 线程池中最多创建50个线程。 pool = ThreadPoolExecutor(50) # 线程池中线程最多50个 for i in range(10000/10): pool.submit(task, video_url) pool.shutdown() if __name__ == '__main__': run()
答疑:协程不是特殊的线程(非阻塞)吗?线程还能创建协程?
3.2 Websocket
- 轮训
- 长轮训
- Websocket
- django channels
- 案例:聊天室案例
- 案例:gojs + websocket 审批流
参考文档:
websocket:https://www.cnblogs.com/wupeiqi/p/6558766.html
go.js: https://www.cnblogs.com/wupeiqi/articles/11978547.html
channels:https://www.cnblogs.com/wupeiqi/articles/9593858.html












